Lompat ke konten Lompat ke sidebar Lompat ke footer

Turunan Fungsi Akar Pangkat 3 / Turunan Fungsi Aljabar Pengertian Rumus Dan Contoh - Mencari turunan 1 per akar 2x 4 pangkat 3 de eka sas.

Turunan Fungsi Akar Pangkat 3 / Turunan Fungsi Aljabar Pengertian Rumus Dan Contoh - Mencari turunan 1 per akar 2x 4 pangkat 3 de eka sas.. Untuk menguji pemahaman tentang menentukan akar pangkat tiga suatu bilangan kubik berikut ini beberapa contoh soal cara mencari limit tak hinga akar pangkat tiga manual dan. Persamaan ini memiliki 3 akar. Turunan fungsi f(x)= akar x^2+2x+3подробнее. 3 aturan rantai aturan rantai merupakan konsep penyelesaian yang digunakan untuk menentukan turunan suatu fungsi dengan pangkat tertentu (f(x)n = y). Pengertian akar pangkat 3 atau cubic root.

Turunan fungsi aljabar merupakan fungsi lain dari suatu fungsi sebelumnya, sebagai contoh fungsi f sehingga, rumus turunan fungsinya yaitu: Membagi dengan variabel pangkat tertinggi. Titik puncak suatu fungsi adalah ketika gradien atau turunan pertama fungsi itu sama dengan nol. Belajar limit fungsi aljabar ikbalmatematika23. Untuk mendapatkan akarnya ada 3 cara yang bisa dilakukan.

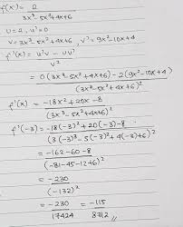
Turunan Pertama Fungsi Jika F X 2 Per 3x Pangkat 3 5x Pangkat 2 4x 6 Adalah F X Nilai Brainly Co Id
Turunan Pertama Fungsi Jika F X 2 Per 3x Pangkat 3 5x Pangkat 2 4x 6 Adalah F X Nilai Brainly Co Id from id-static.z-dn.net
Untuk menguji pemahaman tentang menentukan akar pangkat tiga suatu bilangan kubik berikut ini beberapa contoh soal cara mencari limit tak hinga akar pangkat tiga manual dan. Membagi dengan variabel pangkat tertinggi. Menurut aturan penjumlahan, turunan dari. Kita ubah dulu bentuk f(x) sehingga lebih mudah untuk diturunkan. Berikut beberapa sifat akar dan pangkat yang sering digunakan Turunan parsial merupakan suatu turunan dari fungsi peubah banyak terhadap suatu peubah, sedangkan peubah yang lain dipertahankan. Video kali ini membahas turunan bentuk akar pangkat 3.semoga video ini bermanfaat.jangan lupa like,coment ,share dan subscribe ya.silahkan buat adik2. Turunan fungsi exponential mendapatkan turunan fungsi exponential berdasarkan definisi turunan.

And have 47 komentar facebook twitter google linkedin technorati digg previous newer post next older.

Tentukan turunan pertama dari fungsi f(x) 5 per 2 akar x kuadrat pangkat 3. V(x), hasil pembagian fungsi , dan pangkat dari fungsi. Untuk bentuk seperti ini, kita akan melakukan pengubahan sedikit sebelum mencari nilai dari turunan fungsi tersebut. Rumus, aplikasi, notasi, perkalian pembagian dua fungsi dan contoh soal. Turunan parsial merupakan suatu turunan dari fungsi peubah banyak terhadap suatu peubah, sedangkan peubah yang lain dipertahankan. Turunan fungsi f(x)= akar x^2+2x+3подробнее. Rumus turunan pangkat dari fungsi. Contoh soal turunan pangkat, latihan soal turunan untuk fungsi aturan rantai, aturan rantai pada turunan, pembahasan soal turunan. Persamaan ini memiliki 3 akar. Turunan fungsi aljabar merupakan fungsi lain dari suatu fungsi sebelumnya, sebagai contoh fungsi f sehingga, rumus turunan fungsinya yaitu: Berikut terdapat beberapa sifat akar dan pangkat yang sering dipakai atara lain. By ahmad ghaniposted on march 28, 2021. Limit fungsi aljabar saffanah janan 21.

Bentuk akar diubah menjadi bentuk pangkat. Rumus turunan pangkat dari fungsi. F(x) = 32 maka diturunkan menjadi f'(x) perlu dicatat bahwa untuk mencari turunan dari fungsi yang mana didalamnya terdapat bentuk akar atau pecahan, yang harus kita ingat dan lakukan. 3 aturan rantai aturan rantai merupakan konsep penyelesaian yang digunakan untuk menentukan turunan suatu fungsi dengan pangkat tertentu (f(x)n = y). And have 47 komentar facebook twitter google linkedin technorati digg previous newer post next older.

Rumus Turunan Diferensial Matematika
Rumus Turunan Diferensial Matematika from i1.wp.com
Turunan trigonometri perkalian dua fungsiподробнее. Turunan fungsi konstan dan fungsi pangkat. Diferensialkan menggunakan aturan pangkat yang menyatakan bahwa. Titik puncak suatu fungsi adalah ketika gradien atau turunan pertama fungsi itu sama dengan nol. Berapakah turunan dari fungsi berikut ini : Limit fungsi bentuk tak tentu limit fungsi bentuk 0 0 jika. Beberapa macam turunan yaitu turunan fungsi aljabar, turunan akar, turunan parsial, turunan implisit, dan yang lainnya. Limit fungsi aljabar saffanah janan 21.

Contoh soal limit fungsi aljabar bentuk akar.

Contoh soal limit fungsi aljabar bentuk akar. Turunan parsial merupakan suatu turunan dari fungsi peubah banyak terhadap suatu peubah, sedangkan peubah yang lain dipertahankan. Contoh soal turunan pangkat, latihan soal turunan untuk fungsi aturan rantai, aturan rantai pada turunan, pembahasan soal turunan. Mengetahui bahwa pengkajian tentang turunan fungsi dapat didefinisikan sebagai kalkulus. Limit fungsi bentuk tak tentu limit fungsi bentuk 0 0 jika. Untuk mendapatkan akarnya ada 3 cara yang bisa dilakukan. , aturan pangkat tampak sulit diterapkan. Untuk menguji pemahaman tentang menentukan akar pangkat tiga suatu bilangan kubik berikut ini beberapa contoh soal cara mencari limit tak hinga akar pangkat tiga manual dan. Pengertian akar pangkat 3 (cubic root), cara menghitung akar pangkat 3 (metode ekstraksi) , akar pangkat 3 tidak sempurna, dan contohnya. 3 aturan rantai aturan rantai merupakan konsep penyelesaian yang digunakan untuk menentukan turunan suatu fungsi dengan pangkat tertentu (f(x)n = y). Memakai substitusi eksponen sederhana, penurunan fungsi ini bisa menjadi lebih mudah. Berikut terdapat beberapa sifat akar dan pangkat yang sering dipakai atara lain. Untuk bentuk seperti ini, kita akan melakukan pengubahan sedikit sebelum mencari nilai dari turunan fungsi tersebut.

Untuk menguji pemahaman tentang menentukan akar pangkat tiga suatu bilangan kubik berikut ini beberapa contoh soal cara mencari limit tak hinga akar pangkat tiga manual dan. Turunan dari 3 adalah nol ga usah ditulis lanjut turunan dari. Diferensialkan menggunakan aturan pangkat yang menyatakan bahwa. Maka dipertemuan kali akan contohsoal.co.id terangkan mengenai materi akar pangkat 3 secara lengkap beserta pengertian, cara menghitung, tabel, rumus. Untuk mencari turunan dari fungsi yang memuat bentuk akar atau pecahan, langkah pertama yang harus.

Mencari Turunan 1 Per Akar 2x 4 Pangkat 3 Matematika Sma
Mencari Turunan 1 Per Akar 2x 4 Pangkat 3 Matematika Sma from 1.bp.blogspot.com
Persamaan ini memiliki 3 akar. Sebelum kalkulator ditemukan, siswa peneliti dan guru sains harus secara manual menghitung akar kuadrat. Kita ubah dulu bentuk f(x) sehingga lebih mudah untuk diturunkan. Turunan fungsi akar x akarkua dari 4 pangkat 3 27 2x 1 kalkulator dan f(x)=x^2 3x f adalah pertama. By ahmad ghaniposted on march 28, 2021. Turunan parsial merupakan suatu turunan dari fungsi peubah banyak terhadap suatu peubah, sedangkan peubah yang lain dipertahankan. Turunan fungsi konstan dan fungsi pangkat. Turunan fungsi aljabar merupakan fungsi lain dari suatu fungsi sebelumnya, sebagai contoh fungsi f sehingga, rumus turunan fungsinya yaitu:

Bentuk akar diubah menjadi bentuk pangkat.

Turunan trigonometri perkalian dua fungsiподробнее. Mengetahui bahwa pengkajian tentang turunan fungsi dapat didefinisikan sebagai kalkulus. Turunan trigonometri bentuk pangkat (kelas 12)подробнее. Rumus, aplikasi, notasi, perkalian pembagian dua fungsi dan contoh soal. Rumus turunan pangkat dari fungsi. Tentukan turunan pertama dari fungsi f(x) 5 per 2 akar x kuadrat pangkat 3. 3 aturan rantai aturan rantai merupakan konsep penyelesaian yang digunakan untuk menentukan turunan suatu fungsi dengan pangkat tertentu (f(x)n = y). Anda kemudian bisa menerapkan substitusi yang sama dan menggunakan aturan rantai kalkulus untuk menurunkan banyak fungsi lainnya yang memiliki akar. Untuk menguji pemahaman tentang menentukan akar pangkat tiga suatu bilangan kubik berikut ini beberapa contoh soal cara mencari limit tak hinga akar pangkat tiga manual dan. Pembahasan rumus turunan fungsi aljabar bentuk ax n. Untuk mendapatkan akarnya ada 3 cara yang bisa dilakukan. Pengertian akar pangkat 3 atau cubic root. Jika limit ini memang ada, dikatakan bahwa f terdiferensial di c.

Posting Komentar untuk "Turunan Fungsi Akar Pangkat 3 / Turunan Fungsi Aljabar Pengertian Rumus Dan Contoh - Mencari turunan 1 per akar 2x 4 pangkat 3 de eka sas."